$
0
.000000
Search by author
$
0
.000000
Platform:
SmartVey
Sign up / Log in
Serey is utilizing Blockchain technology
Back
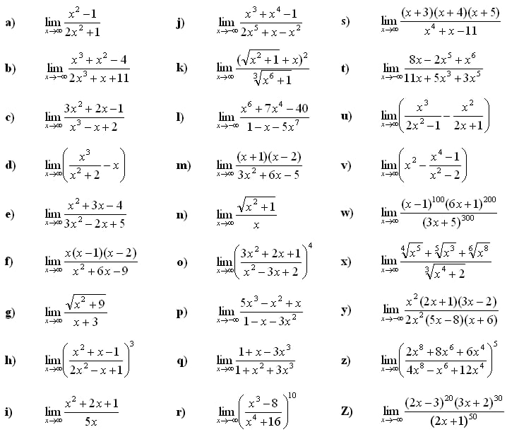
លំហាត់អនុវត្តន៏( part2)
horsoeuhak
Follow
1yr
លំហាត់លីមីតងាយៗ សម្រាប់អនុវត្តន៏
717.425 SRY
$0.00
3 votes
0 downvote
high school
SmartVey
Add Comment
Comments
Comments