ដើម្បីគណនាលីមីតរាងមិនកំណត់0/0 បាន យើងត្រូវ
- ជួសលេខដើម្បីសម្គាល់ថាលីមីត កំណត់ ឬមិន កំណត់
-ដឹងកត្តាដែលធ្វើឲលីមីតរាងមិនកំណត់
-ចាប់កត្តានោះទាំងភាគយកនិងភាគបែង
-សម្រួលកត្តានោះចោល
-ជួសលេខ
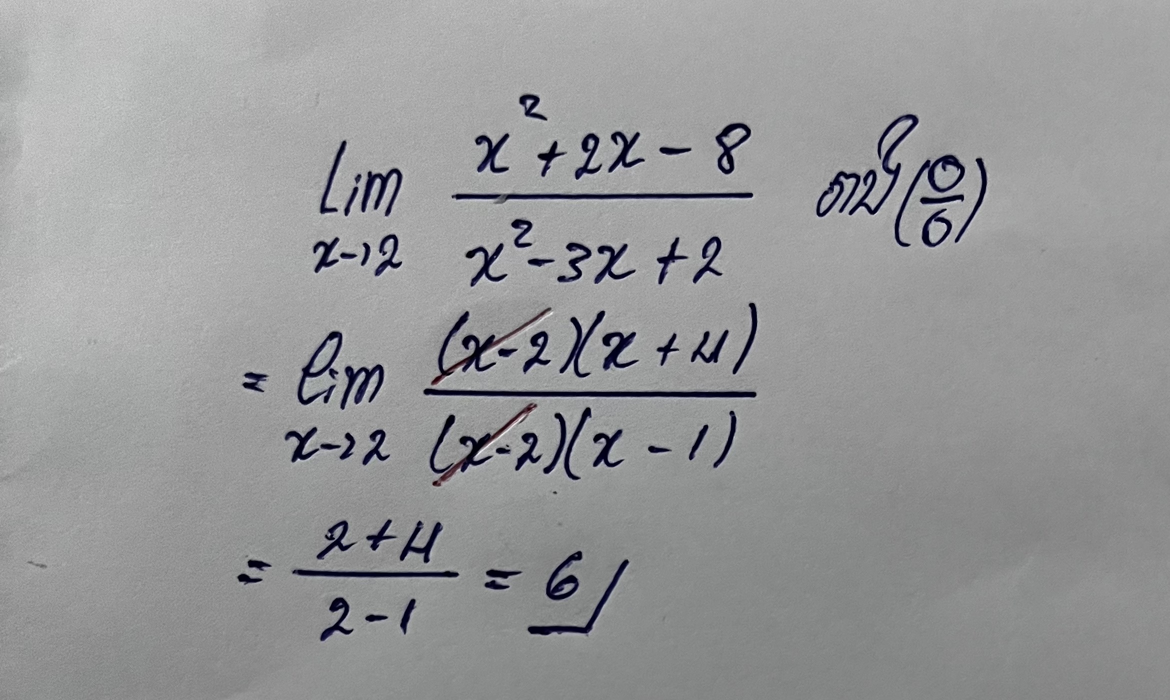
Example

• Note : បើ x->C នោះកត្តាដែលធ្វើឲលីមីតគ្មានន័យគឺ
x-C
ដើម្បីគណនាលីមីតរាងមិនកំណត់0/0 បាន យើងត្រូវ
- ជួសលេខដើម្បីសម្គាល់ថាលីមីត កំណត់ ឬមិន កំណត់
-ដឹងកត្តាដែលធ្វើឲលីមីតរាងមិនកំណត់
-ចាប់កត្តានោះទាំងភាគយកនិងភាគបែង
-សម្រួលកត្តានោះចោល
-ជួសលេខ
Example

• Note : បើ x->C នោះកត្តាដែលធ្វើឲលីមីតគ្មានន័យគឺ
x-C
Comments